Universo sem limites.
Produtos notáveis são expressões algébricas que seguem padrões fixos de multiplicação. Conhecê-los permite resolver multiplicações de forma mais rápida e eficiente, sem expandir tudo.

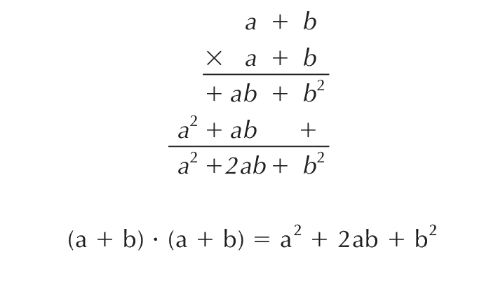
(a + b)2 = a2 + 2ab + b2
Exemplo:
(x + 3)2 = x2 + 2·x·3 + 32 = x2 + 6x + 9

(a - b)2 = a2 - 2ab + b2
Exemplo:
(x - 5)2 = x2 - 2·x·5 + 25 = x2 - 10x + 25

(a + b)(a - b) = a2 - b2
Exemplo:
(x + 2)(x - 2) = x2 - 4

(a + b)3 = a3 + 3a2b + 3ab2 + b3
Exemplo:
(x + 1)3 = x3 + 3x2·1 + 3x·12 + 13 = x3 + 3x2 + 3x + 1

(a - b)3 = a3 - 3a2b + 3ab2 - b3
Exemplo:
(2x - 1)3 = 8x3 - 12x2 + 6x - 1
Exemplo 1: Desenvolva (3x + 4)2
(3x)2 + 2·3x·4 + 42 = 9x2 + 24x + 16
Exemplo 2: Calcule (2x - 3)2
(2x)2 - 2·2x·3 + 32 = 4x2 - 12x + 9
Exemplo 3: Calcule (x - 7)(x + 7)
x2 - 49
Dica: Memorize os padrões dos produtos notáveis e aplique em seus cálculos