Universo sem limites.
Bem-vindo ao FocusCosmus!
Neste tutorial, vamos explorar as propriedades fascinantes da operação aritmética conhecida como Logaritmo.

Que conceitos você deve conhecer antes de iniciar essa lição?
Você deve estar familiarizado com expoentes e, preferencialmente, com potência,.
O que você vai aprender nessa lição ?
Você aprenderá o que são logaritmos e saberá como calcular alguns logaritmos básicos. Isso vai prepará-lo para seu trabalho futuro, concursos e resolver expressões e funções.
O que é um logaritmo?
Logaritmos são uma outra forma de pensar em expoentes.
Nomenclatura:
a ? base
b ? logaritmando
x ? logaritmo
Por exemplo, sabemos que 2 elevado a 4ª potência é igual a 16.
Isso é expressado pela equação exponencial 24 = 16.
Agora, suponha que alguém nos tenha perguntado,
“2 elevado a qual potência é igual a 16″? A resposta seria 4.
Isso é expresso pela equação logarítmica Log2 (16) = 4, lida como
“Log de dezesseis na base dois é igual a quatro“.
24 = 16 ? Log2 (16) =4
Ambas as equações descrevem a mesma relação entre os números
2, 4 e 16, em que 2 é a base e 4 é o expoente.
A diferença é que, enquanto a forma exponencial isola a potência, 16, a forma logarítmica isola o expoente, 4.
Lê-se logaritmo de b na base a, sendoa > 0 e a ? 1 e b > 0.
Quando a base de um logaritmo for omitida, significa que seu valor é igual a 10.
Este tipo de logaritmo é chamado de logaritmo decimal.
Definição de logaritmo:
Quando o logaritmo de a na base a possui uma potência m, será igual ao expoente m, ou seja loga am = m, pois usando a definição am = am. Por exemplo, log3 35 = 5.
Quando dois logaritmos com a mesma base são iguais, os logaritmandos também serão iguais,ou seja, loga b = loga c ? b = c
A potência de base a e expoente loga b será igual a b, ou seja alogab = b.

As duas equações descrevem a mesma relação entre a, b e c: b é a base, c é o expoente, e a é chamado de argumento.
Uma observação útil
Quando reescrevemos uma equação exponencial em forma de log, ou uma equação logarítmica na forma exponencial, é importante lembrar que a base do logaritmo é igual à base do expoente.
Nomenclatura:
b ? base
a ? logaritmando
c ? logaritmo
Propriedades dos logaritmos
Existem casos em que a simples aplicação da definição não é o suficiente para resolvê-los, então, para isso, foram desenvolvidas algumas propriedades que facilitam essa resolução.
1ª propriedade: logaritmo de um produto
2ª propriedade: logaritmo do Quociente
3ª propriedade: logaritmo da Potencia
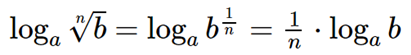
4ª propriedade: logaritmo de uma Raiz
O domínio dessas ferramentas é essencial para a resolução dos problemas sobre esse tema e para utilizar-se de logaritmos a fim de solucionar equações exponenciais de bases diferentes.
Considere X e Y dois números reais positivos e diferentes de 1 para o exemplo a seguir.
1ª propriedade: logaritmo de um produto
O logaritmo de um produto pode ser separado na adição do logaritmo de mesma base de cada um dos fatores.
Logb(X · Y) = LogbX + LogbY
2ª propriedade: logaritmo do Quociente
O logaritmo do quociente de dois fatores a e b, em qualquer base c, é igual à diferença dos logaritmos de cada um desses fatores.
3ª propriedade: logaritmo de uma potência
O logaritmo de uma potência, em qualquer base c, igual ao produto entre o expoente da potência e o logaritmo cujo logaritmando é a base da potência.
4ª propriedade: logaritmo de uma Raiz
O logaritmo da raiz enésima de um número real positivo é o produto entre o inverso do índice da raiz pelo logaritmo cujo o logaritmando é o radicando: