Universo sem limites.
Bem-vindo ao FocusCosmus!
Neste tutorial, vamos explorar as propriedades fascinantes da operação aritmética conhecida como Radiciação.


A radiciação é um conceito fundamental na matemática, sendo uma operação inversa à potenciação. Neste tutorial, exploraremos a operação aritmética de radiciação e suas propriedades.
A radiciação é uma ferramenta poderosa na matemática, com diversas aplicações em diferentes campos. Este tutorial fornece uma base sólida para compreender a operação aritmética de radiciação e suas propriedades, abrindo portas para a resolução de problemas mais complexos em diversos domínios matemáticos e científicos. Pratique os conceitos apresentados e explore suas aplicações em situações do mundo real.
Radiciação é o método matemático inverso à potenciação.
Enquanto os cálculos com potências são determinados pela multiplicação de elementos iguais sucessivas vezes, a radiciação procura quais são esses elementos. Em 11², por exemplo, temos: 11² = 11.11 = 121.
Neste caso, dizemos que a raiz quadrada de 121 é igual a 11.
A radiciação é uma operação matemática que consiste em encontrar o número que, quando multiplicado por si mesmo, resulta em um número dado.
Por exemplo, a raiz quadrada de 25 é 5, porque 5 * 5 = 25.
A radiciação é uma operação inversa da potenciação.
A potenciação é a operação de multiplicar um número por si mesmo um certo número de vezes.
Por exemplo, 42 = 16, porque 4 * 4 = 16.
Radiciação é a operação que realizamos quando queremos descobrir qual o número que multiplicado por ele mesmo determinada quantidade de vezes, dá um valor que conhecemos.
Exemplo: Qual é o número que multiplicado por ele mesmo 2 vezes dá como resultado 25?
Por tentativa podemos descobrir que:
5 x 5 = 25, ou seja,
Escrevendo na forma de raiz, temos: v25 = 5
Definição de Radiciação:
0A radiciação é uma operação matemática que extrai a raiz de um número.
Seja :

n e a?, onde a é o radicando e n é o índice da raiz.
a ? Radicando
n ? índice
b ? raiz
v ? Radical
Raízes Comuns:
Raiz quadrada

com = 2n =2.
Raiz cúbica

com = 3n = 3.
Notação de Radiciação:
A notação

indica a raiz n de a.
“Propriedade 1: Raiz em que o expoente do radicando é igual ao índice
“A propriedade 1 afirma que, sempre que o índice for igual ao expoente do radicando, o resultado da raiz n-ésima é a própria base.
Exemplos:


“Propriedade 2: Potência de expoente radical
A propriedade 2, na verdade, é uma propriedade de potenciação em que o expoente é uma fração. O numerador da fração passa a ser o expoente do radicando, e o denominador passa a ser o índice da raiz. Veja um exemplo:


“A propriedade 2, na verdade, é uma propriedade de potenciação em que o expoente é uma fração. O numerador da fração passa a ser o expoente do radicando, e o denominador passa a ser o índice da raiz. Veja um exemplo:”
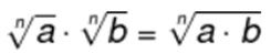
Propriedade 3: Produto de raízes de índices iguais“
A propriedade 3 afirma que o produto entre duas raízes com índices iguais é igual à raiz de mesmo índice do produto dos radicandos.


Propriedade 4: Quociente de raízes de índices iguais
De maneira análoga à propriedade 3, a propriedade 4 afirma que a divisão entre duas raízes de índices iguais é igual à raiz de mesmo índice da divisão dos quocientes.
Propriedade 5: Potência de uma raiz
A propriedade 5 nos diz que uma raiz n-ésima elevada a um determinado expoente m é igual à raiz n-ésima do radicando elevado ao expoente.


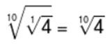
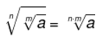
Propriedade 6: Raiz de outra raiz
Quando nos depararmos com uma raiz de outra raiz, basta conservar o radicando e multiplicar os índices das raízes.


Propriedade 7: Simplificação de raízes
A propriedade 7 afirma que, em uma raiz n-ésima de uma potência, podemos multiplicar o índice e o expoente do radicando por qualquer número desde que seja diferente de 0.
